Roztwór nasycony i nienasycony – jaka jest różnica?
Roztwór nasycony to taki, w którym nie ma już możliwości rozpuszczenia więcej substancji, przy danym stężeniu i temperaturze. Oznacza to, że maksymalna rozpuszczalność substancji jest osiągnięta i nie da się dodać więcej substancji bezpośrednio do tego roztworu.
Roztworem nienasyconym nazywamy taki, w którym można rozpuścić więcej substancji niż obecnie znajduje się w roztworze, przy danej temperaturze i stężeniu. Jest to roztwór, który ma zdolność do rozpuszczenia jeszcze większej ilości substancji rozpuszczonej.
Przeczytaj również:

Prawo zachowania masy – definicja, zadania
Stężenie procentowe roztworu – co to jest?
Stężenie procentowe roztworu określa, ile części masowych (wagowych) substancji rozpuszczonej znajduje się w 100 częściach masowych (wagowych) roztworu. Na przykład zapis 3% oznacza, że w 100 gramach roztworu znajdują się 3 gramy rozpuszczonej substancji.
Definicje, które mogą Ci się przydać w nauce
- Roztwór – to jednorodna mieszanina substancji rozpuszczonej i rozpuszczalnika.
- Mieszanina jednorodna – to rodzaj układu, w którym składniki są równomiernie rozłożone w całej objętości, co oznacza, że nie ma między nimi wyraźnej granicy. Przykładem mieszaniny jednorodnej może być woda z solą, gdzie cząsteczki soli równomiernie rozprowadzają się w całej objętości wody, bez żadnych widocznych osadów.
- Substancja rozpuszczona – to substancja, którą mieszamy z wodą w celu otrzymania roztworu.
- Rozpuszczalnik – ciecz, w której rozpuszczamy substancję, żeby otrzymać roztwór.
- Stężenie roztworu – ilość substancji znajdującej się w roztworze.
- Stężenie procentowe – liczba gramów związku, jaka jest obecna w 100 g roztworu, wyrażona jest w procentach.
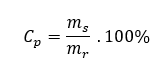
Wzór na stężenie procentowe roztworu
Stężenie procentowe roztworu można obliczyć za pomocą wzoru:

Należy pamiętać, że masę roztworu trzeba obliczyć, jeszcze zanim zacznie się obliczać stężenie procentowe roztworu. Wzór na masę roztworu to:

Czy można obliczyć stężenie procentowe bez wzoru?
Tak! Wzory nie zawsze pamiętamy, natomiast znając oraz rozumiejąc definicje, za pomocą proporcji również obliczymy zadanie. Dodatkowo, z proporcji możemy wyprowadzić wzór. Należy jednak pamiętać, że wzór również posiada zalety – przy bardziej skomplikowanych obliczeniach, lub gdy powtarzamy wielokrotnie obliczenia dla różnych danych, zdecydowanie łatwiej będzie liczyło się z wykorzystaniem wzoru.
Przykładowe zadania – rozwiązania z pomocą wzoru oraz proporcji
Zadanie 1.
Oblicz procentową zawartość soli w roztworze, w którym znajduje się 30 g soli w 200 g roztworu.
Rozwiązanie:
- Najpierw obliczamy całkowitą masę roztworu ze wzoru:

Masa roztworu = 200 g + 30 g = 230 g.
- Następnie obliczamy procentową zawartość soli w roztworze ze wzoru:

Stężenie procentowe = (30 g/230 g) * 100% ≈ 13,04%
Odpowiedź: Procentowa zawartość soli w roztworze wynosi około 13,04%.
Jeśli chcielibyśmy rozwiązać zadanie bez użycia wzoru, możemy skorzystać z proporcji. Zanim jednak ją ułożysz, również należy policzyć całkowitą masę roztworu, tak samo jak wyżej. Wiemy już, że wynosi 230 g, więc możemy działać z proporcją:
230 g – 100 %
30 g – x %
x = ?
Proporcję liczymy na „krzyż”, czyli:
230 * x = 100 * 30
230x = 300 / 230
x ≈ 13,04%
Odpowiedź: Procentowa zawartość soli w roztworze wynosi około 13,04%.
Zadanie 2.
Ile gramów soli kuchennej potrzeba do sporządzenia 500 g 20 % roztworu?
Rozwiązanie:
Pierwszym sposobem na rozwiązanie zadania jest skorzystanie ze wzoru, a dokładniej należy go przekształcić:

Odpowiedź: Do sporządzenia roztworu należy użyć 100 g soli kuchennej.
W przypadku tego zadania również można wykorzystać proporcję. Z zadania wiemy, że roztwór ma mieć stężenie 20 %, co oznacza, że w 100 g roztworu znajduje się 20 g substancji rozpuszczonej. Proporcja wygląda następująco:

Z wyliczeń wynika, że:
20 * 500 = 100 * x
10000 – 100x / 100
x = 100 g substancji (sól kuchenna)
Odpowiedź: Do sporządzenia roztworu należy użyć 100 g soli kuchennej.
Podsumowanie wiadomości o stężeniu procentowym
Stężenie procentowe to ważne pojęcie w chemii, farmacji i innych dziedzinach nauki, gdzie mierzy się ilość substancji w roztworach. Stężenie procentowe jest istotne przy przygotowywaniu roztworów, mierzeniu stężenia leków czy substancji odżywczych w pokarmach oraz w wielu innych zastosowaniach naukowych i przemysłowych.
Stężenie procentowe można obliczyć, dzieląc masę lub objętość danej substancji przez masę lub objętość całego roztworu, pomnożone przez 100 z dodanym procentem.
Może być wyrażone jako stężenie masowe (masa substancji w roztworze do masy całego roztworu) lub jako stężenie objętościowe (objętość substancji do objętości całego roztworu).















